New Delhi: A new study has found that unchecked emission of black carbon into the environment could have a significant adverse effect on human health and even lead to premature mortality.
The Indo-Gangetic plain is exposed to significant emissions of black carbon (BC). However, most of the pollution-based epidemiological studies essentially relate exposure to particulate mass concentration (PM 10 / PM 2.5) that invariably treat all particulates with equal toxicity, without distinguishing individuals by their source or composition, though they may have different health consequences. Importantly, the health effects in terms of mortality due to black carbon aerosol exposure have never been evaluated in India.
A team of researchers from the Government of India’s Department of Science & Technology-Mahamana Centre of Excellence in Climate Change Research (DST-MCECCR) at the Varanasi-based Banaras Hindu University has filled the gap. They explored the individual as well as the cumulative impact of Black Carbon aerosol; fine (PM 2.5) and coarse (PM 10) particulates; and trace gases (Sulphur dioxide, Nitrogen dioxide, and ozone) on premature mortality in Varanasi.
The town, which is a typical urban pollution hotspot in the central Indo-Gangetic Plain, experiences very high aerosol loading and trace gas concentrations throughout the year due to the prevalence of a subsidence zone and observed decadal increasing trends both in Aerosol Optical Depth and Black Carbon aerosols.
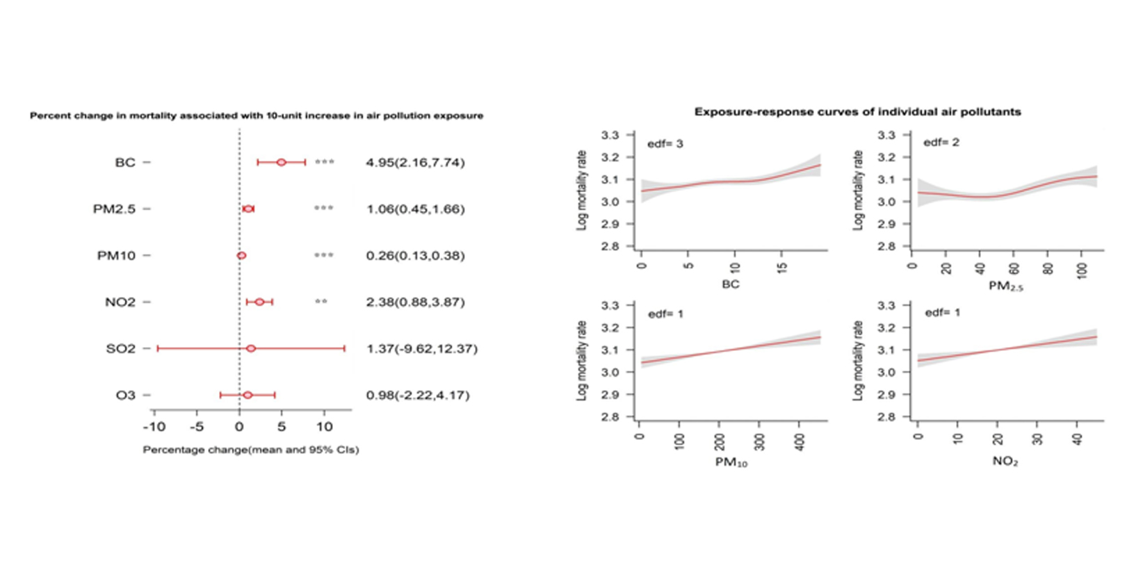
The Scientists, supported by the Climate Change programme of the Department of Science and Technology, studied the daily all-cause mortality and ambient air quality from 2009 to 2016 and found a significant impact of Black Carbon aerosols, Nitrogen dioxide and PM2.5 exposure on mortality. The inclusion of co-pollutants (Nitrogen dioxide and PM 2.5) in the multi-pollutant model increased the individual mortality risks for Black Carbon aerosols.
The effect of pollutants was more prominent for males, age group 5 to 44, and in winter. They found that the adverse effect of air pollutants was not limited to the current day of exposure but can extend as long as up to five days due to the lag effect. They further showed that mortality rose linearly with an increase in air pollutants level.
Professor and Coordinator of MCECCR, Dr.R.K. Mall led the study. The team included Nidhi Singh, AlaaMhawish, Tirthankar Banerjee, SantuGhosh, R. S. Singh. They have published a report on their work in journal “Atmospheric Environment”. (India Science Wire)
